我が家の電気代は35,000円を超えています。ペットの為とリモートワークで常時自宅にいる自分の為にエアコンが24時間稼働しているからかもしれません。
先日の日記でPintは市場連動型ではないので値上がりはそこまでではないと思っていたけれど、燃料費調整単価の上限が10月から撤廃され青天井になることに気がついていなかった!!
9月分までは上限の5.13円/kWhで打ち止めになっているけど、10月分からは上限が撤廃されるので10月は8.07円、11月は9.72円。今後も青天井で上がってしまうではないか!!

こうなると既得権益の「半日お得プラン」を手放しても、東京電力の従量電灯Bに移行した方が良いのではないかな??
2023/01/12追記)2023年1月分は12.99円まで上昇していました。東京電力へ切り替えておいて良かった・・・
と言うわけで、最新の9月の電気代で再度シミュレーションしてみる。
まずは今月の支払い明細はこんな感じ。
| 料金項目 | 単価(円) | kWh | 金額(円) |
| 基本料金 | 1,320 | ||
| 昼間第1段階 | 29.00 | 70 | 2,030 |
| 昼間第2段階 | 38.63 | 100 | 3,863 |
| 昼間第3段階 | 44.61 | 325 | 14,499 |
| 夜間料金 | 12.91 | 443 | 5,720 |
| 燃料費調整額 | 5.10 | 938 | 4,784 |
| 再生可能エネルギー発電促進賦課金 | 3.45 | 938 | 3,236 |
| 合計 | 35,450円 |
同じ条件で上限撤廃後11月の単価で再計算 ※Pint公式サイトの価格表はこちら
| 料金項目 | 単価(円) | kWh | 金額(円) | 値上げ後の金額(円) | 値上げ額 |
| 基本料金 | 1,320 | 1,320 | 0 | ||
| 昼間第1段階 | 29.00→28.42 | 70 | 2,030 | 1,990 | ▲40 |
| 昼間第2段階 | 38.63→37.86 | 100 | 3,863 | 3,786 | ▲77 |
| 昼間第3段階 | 44.61→43.72 | 325 | 14,499 | 14,209 | ▲290 |
| 夜間料金 | 12.91→16.81 | 443 | 5,720 | 7,447 | 1,727 |
| 燃料費調整額 | 5.10→9.72 | 938 | 4,784 | 9,118 | 4,334 |
| 再生可能エネルギー発電促進賦課金 | 3.45 | 938 | 3,236 | 3,236 | 0 |
| 合計 | 35,450円 | 41,106円 | 5,656円 |
なんと、5,656円(16%)もの値上がりになってしまうではないですか!!
さらに同じ使用量で東京電力の従量電灯Bで試算してみよう
| 料金項目 | 単価(円) | kWh | 金額(円) | Pintの金額(円) | 差額 |
| 基本料金(60A) | 1,716 | 1,320 | 396 | ||
| 第1段階 | 19.88 | 120 | 2,386 | ー | ー |
| 第2段階 | 26.48 | 180 | 4,767 | ー | ー |
| 第3段階 | 30.57 | 638 | 19,504 | 27,432 | ▲775 |
| 燃料費調整額 | 5.13 | 938 | 4,812 | 9,118 | ▲4,306 |
| 再生可能エネルギー発電促進賦課金 | 3.45 | 938 | 3,236 | 3,236 | 0 |
| 合計 | 36,421円 | 41,106円 | ▲4,685 |
おぉっ!今のPintで夜間電力の割引を受けるより、東京電力の昔ながらの従量電灯Bにした方が5,000円近くも安くなる事がシミュレーションしてみて分かりました。
そうと分かれば早速切替の申し込みをしようとWebに繋いでみたのですが・・・・

なんてこった、Webからでは従量電力Bへの切り替えは行えないじゃないかorz
仕方がないので、明日にでも東京電力のカスタマーセンターに電話して、電力会社の切り替えを申し込むことにしよう。
2022/10/04 備忘録のために追記
東京電力(移行先)でやること
まずは東京電力のコールセンターへ電話。混み合っていたけど5分ほどでまずは繋がった。AIサポートに音声で話しかけると窓口へ誘導される仕組み。
そこから有人窓口での加入(切り替え)申し込み。ちょうど今日が来月分切替の受付最終日とのことで大幅な値上がり前に滑り込みセーフ!
供給地点特定番号を伝えられるとスムーズに手続きが進みます。
後述しますが、Pintでんき側に廃止を申し込む際に必ず言わなければならない文言をここで伝えられるので、あらかじめメモ用紙を準備しておきましょう。
Pintでんき(移行元)でやること
Pintでんきのマイページから廃止手続きを行おうとしたところ、伝えなければならない文言を入力する(伝える)事ができないので、Webではなく電話での廃止手続きが必須。面倒だなぁ・・・
しかも、Pintのカスタマーサポートの電話番号、契約書に記載されている050-3188-1490に架電したら「現在使われておりません」ってどういうこと!
本日現在の正しい電話番号は 050-2018-8555 なので要注意。誰かの役に立ちますように・・・
Pintには「10月XX日から電気事業者の切り替えに伴うスイッチング廃止の手続き」と伝える事で廃止手続き自体は完了。この「スイッチング廃止」という文言がPint側に伝わらないと、単なる廃止となって電気の送電が止まってしまうのですって。
トータル1時間ほどで手続き完了
コロナ禍に伴って勤務形態もフルリモートになったし、昼間でも普通に電気を使うので夜間電力の恩恵もそれほどでは無くなっていたから丁度良い切替の機会でした。燃料費調整額が下がるまではこのままでよさそう。
アクアエナジー100だとどうなる?(2022/10/17追記)
水力発電100%の電気を利用した見做される「アクアエナジー100」という、神プランを見つけた!
基本料金が倍額になる代わりに燃料費調整額が0円になるプラン。

我が家の60A契約の場合、基本料金は1,650円高くなる代わりに燃料費調整額が330kWh(1650÷5)を超えるのであれば燃料費調整額の分だけお得になりますね。


我が家の2021年11月〜2022年10月までの使用量と電気料金です。どうみても電気使用量が330kWhを下回ることは有り得ないので、確実に節約になりそうです。3月なんて、キロ(k)から単位が上がって1M(メガ)ですよw
それにしてもこうして1年分で並べてみると8月以降の値上がりが顕著ですね。
アクアエナジー100で試算してみた結果は以下の表の通り。燃料費調整額が相当安くならなければ我が家の場合はアクアエナジー100が最安プランのようです。
| 料金項目 | 単価(円) | kWh | 金額(円) | 従量電灯Bの金額(円) | 差額 |
| 基本料金(60A) | 3,366 | 1,716 | 1,650 | ||
| 300kWhまで | 23.83 | 300 | 7,149 | 7,153 | ▲4 |
| 300kWh以上 | 30.57 | 638 | 19,504 | 19,504 | 0 |
| 燃料費調整額 | 5.13 | 938 | 0 | 4,812 | ▲4,812 |
| 再生可能エネルギー発電促進賦課金 | 3.45 | 938 | 3,236 | 3,236 | 0 |
| 合計 | 33,255円 | 36,421円 | ▲3,166 |
PinTからの移行時点では従量電灯Bにしたけれども、来月からはアクアエナジー100にさらにプランを変更しよう!
アクアエナジー100に契約変更しました(2022/10/19追記)
新料金プランだからWebで手続きが完了できるので5分も掛かりませんでした。せっかくなので契約アンペアも60Aから50Aへ減らして基本料金を節約です。

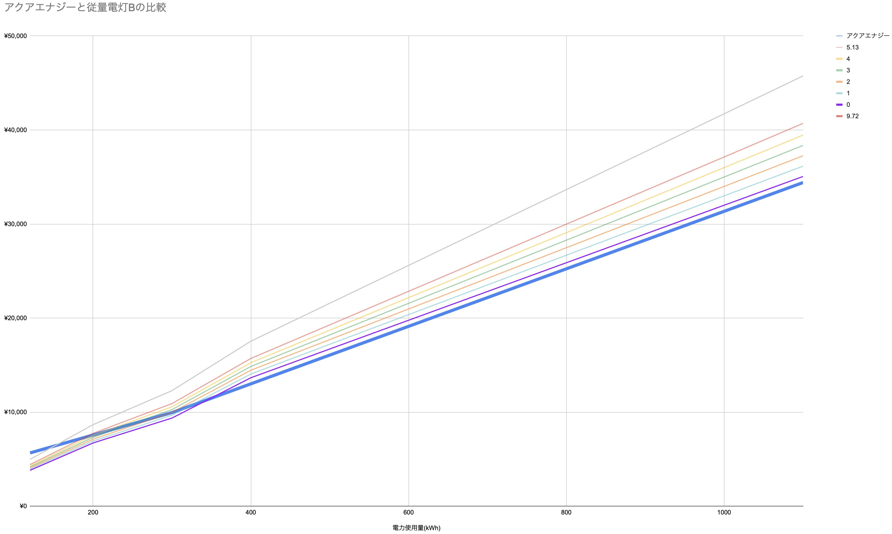
アクアエナジーと従量電灯B+燃料費調整額での比較
基本料金50Aの場合、燃料費調整額が0円まで下がったとしても350kWh以上使うのであればアクアエナジーの方が安価ですね。現状の規制上限額一杯の場合は200kWhで既にアクアエナジーの方がお得になっています。
参考までにPintに残った場合の燃料費調整額(9.72円/1kWh)で試算すると、グラフがダントツで右肩上がりですね。危なかった・・・(汗)



ひとことコメント コメント欄以外は任意入力です
はじめまして、我が家も半日お得プラン利用中ですが、燃料費調整額上限が撤廃されてプラン変更を検討中です。半日お得プランは再度申し込みできないので、どうしようか悩んでる間に、どんどん燃料費調整額があがり、今日まで来てしまいました。質問なんですが従量電灯Bに戻したとありますが、PinTでんきでも同様のPinTでんきBがありますよね?従量電灯BとPinTでんきBの違いって何かあるのでしょうか?料金プランは同じで燃料費調整額上限もあるみたいですが・・・もしご存知なら教えて下さい。
PintでんきBの燃料費調整額が東京電力の従量電灯Bと同額な理由は、Pintでんきの「電気供給サービス規約」の6.料金 (4) 燃料費調整額 で、各電力会社の従量電灯Bの単価を適用すると定められているからですね。
東京電力の従量電灯Bは法律で規制されているので料金は簡単には値上げされませんが、PintでんきBはあくまで自由料金(のはず)なので、契約者の合意があれば東京電力と燃料費調整額を揃えるという現在の条項も改訂できてしまうと思われます。
ただ、利用者個別に値上げ(規約変更)の同意を取る必要があるPintでんきBも会社としてはハードルが高いので、国に値上げの許可を得る必要がある従量電灯Bと比較しても、値上げの可能性自体は大きくは変わりないと思います。
半日お得プランをPintでんきBにプラン変更してしまうと元の半日お得プランには戻れないと考えられますので、この燃料調整額の値上げがどこまで続くのか分かりませんが、夜間と昼間の使用割合と比較して検討されると良いかと思います!